高壓清洗機噴嘴流速對效率的影響
時間:2015-01-23 14:35:27作者:LeeZhou來源:德高潔清潔設備分享到:QQ空間新浪微博騰訊微博人人網微信
高壓清洗機的主要動力機械即是高壓泵,而高壓泵的主要特征參數就是高壓水的壓力和流量。噴嘴則是將高壓泵液流的壓力能轉變成打擊堅硬結垢物和管道堵塞物的機械能或高速動能的工作機構。一臺設計合理的高壓清洗機,高壓泵所發送出來的高壓水應當完全從噴嘴里噴出來,形成高壓水射流對清洗靶物進行清洗或破碎工作。如果噴嘴設計不合理,就會造成相當大的水流在噴射系統中溢流回水箱,這就造成了很大能量的浪費。之前我們介紹了《高壓清洗機噴嘴直徑對射流收縮的影響》以及《高壓清洗機噴嘴壓力及流道結垢對射流收縮的影響》,以下主要介紹高壓清洗機噴嘴流速對效率的影響。
高壓清洗機噴嘴流速對效率的影響:
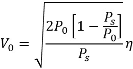
高壓液流在噴嘴中流動,在噴嘴內孔壁面上必然要產生摩擦,這種摩擦造成的損失我們稱其為壓力損失,以 Ps 來表示。考慮壓力損失,并將其代入公式(2),經整理后則可得噴嘴流速公式(1)。
(1)
式(1)中,Ps —噴嘴中壓力損失,MPa;
ρs —高壓水密度,kg/m³。
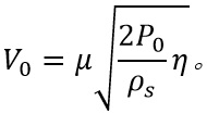
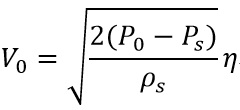
式(1)還可以寫成:
(2)
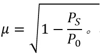
另:
(3)
將式(3)代入式(2)則有:
(4)
式(4)中,μ —考慮壓力損失的噴嘴流速系數,其值永遠小于1。
由式(3)可知,噴嘴實際流速由于摩擦損失或者壓力損失,永遠要小于理論計算的流速。根據有關學者的大量實驗和流量,流速系數一般為0.95到0.97。
北京德高潔清潔設備有限公司是一家專業清潔環保設備供應商,在高壓水清洗、水霧降塵、集中式除塵系統已積累了十多年的業內寶貴經驗,請隨時關注我們的網站及發布的最新信息,也歡迎來電咨詢,我們將竭誠為您服務。
高壓清洗機噴嘴流速對效率的影響:
高壓液流在噴嘴中流動,在噴嘴內孔壁面上必然要產生摩擦,這種摩擦造成的損失我們稱其為壓力損失,以 Ps 來表示。考慮壓力損失,并將其代入公式(2),經整理后則可得噴嘴流速公式(1)。
(1)式(1)中,Ps —噴嘴中壓力損失,MPa;
ρs —高壓水密度,kg/m³。
式(1)還可以寫成:
(2)另:
(3)將式(3)代入式(2)則有:
(4)式(4)中,μ —考慮壓力損失的噴嘴流速系數,其值永遠小于1。
由式(3)可知,噴嘴實際流速由于摩擦損失或者壓力損失,永遠要小于理論計算的流速。根據有關學者的大量實驗和流量,流速系數一般為0.95到0.97。
北京德高潔清潔設備有限公司是一家專業清潔環保設備供應商,在高壓水清洗、水霧降塵、集中式除塵系統已積累了十多年的業內寶貴經驗,請隨時關注我們的網站及發布的最新信息,也歡迎來電咨詢,我們將竭誠為您服務。
熱門搜索: